搜索
首页
首页
医院概况
医院简介
现任领导
历史沿革
医院荣誉
组织架构
医院文化
联系我们
新闻中心
医院新闻
通知公告
招标信息
公开招聘
门诊排班
就医指南
就诊提示
预约挂号
交通信息
入院流程
出院流程
社保知识
特色科室
特色专科
科室专家
医学教育
本科教育
毕业后教育
继续教育
招生就业
科研学术
药物/医疗器械临床试验
临床医学研究
党群工作
党的建设
行风建设
职工之家
健康教育
学习前沿
首页
医院概况
新闻中心
就医指南
特色科室
医学教育
科研学术
党群工作
健康教育
学习前沿
通知公告
首页
/
新闻中心
/
通知公告
/ 正文
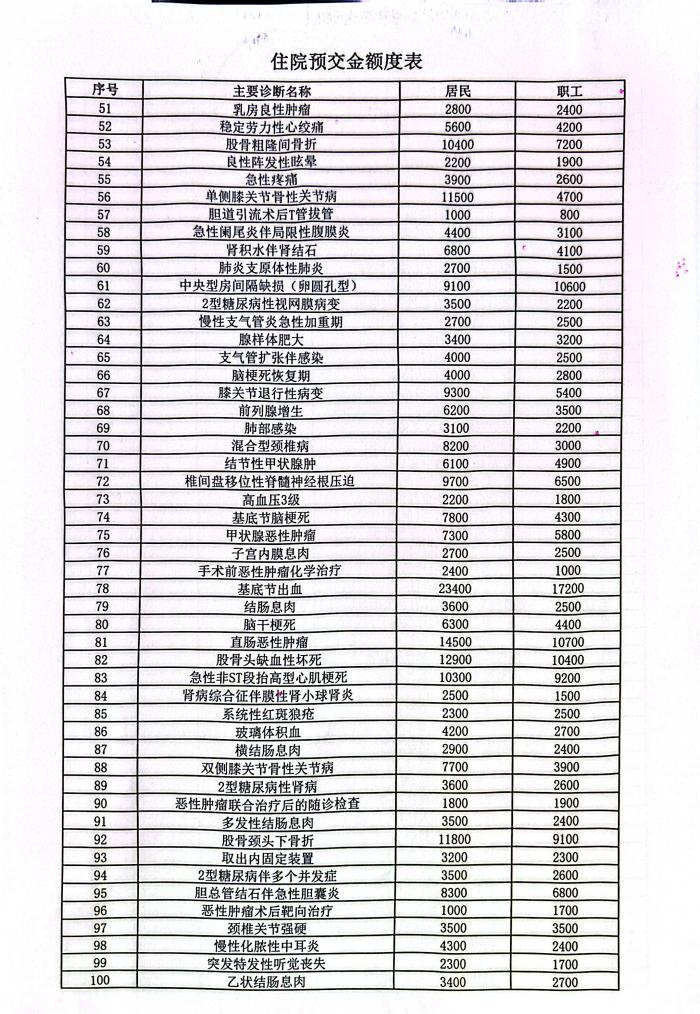
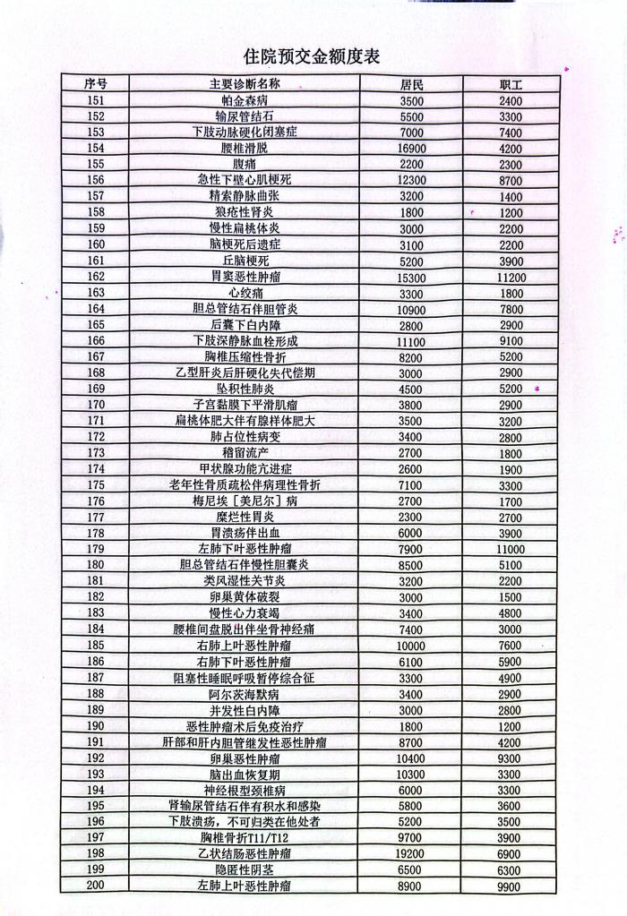
湘南学院附属医院关于收取住院预交金的公示
发布人:xnxy120
时间:2025-06-30
来源:
浏览量:
827
操作>>
编辑:李丽君 审核:李莉 许莉珺